Pembahasan Matematika Kelas 11 Kurikulum Merdeka Penerbit Erlangga
Uji Capaian Pembelajaran 2
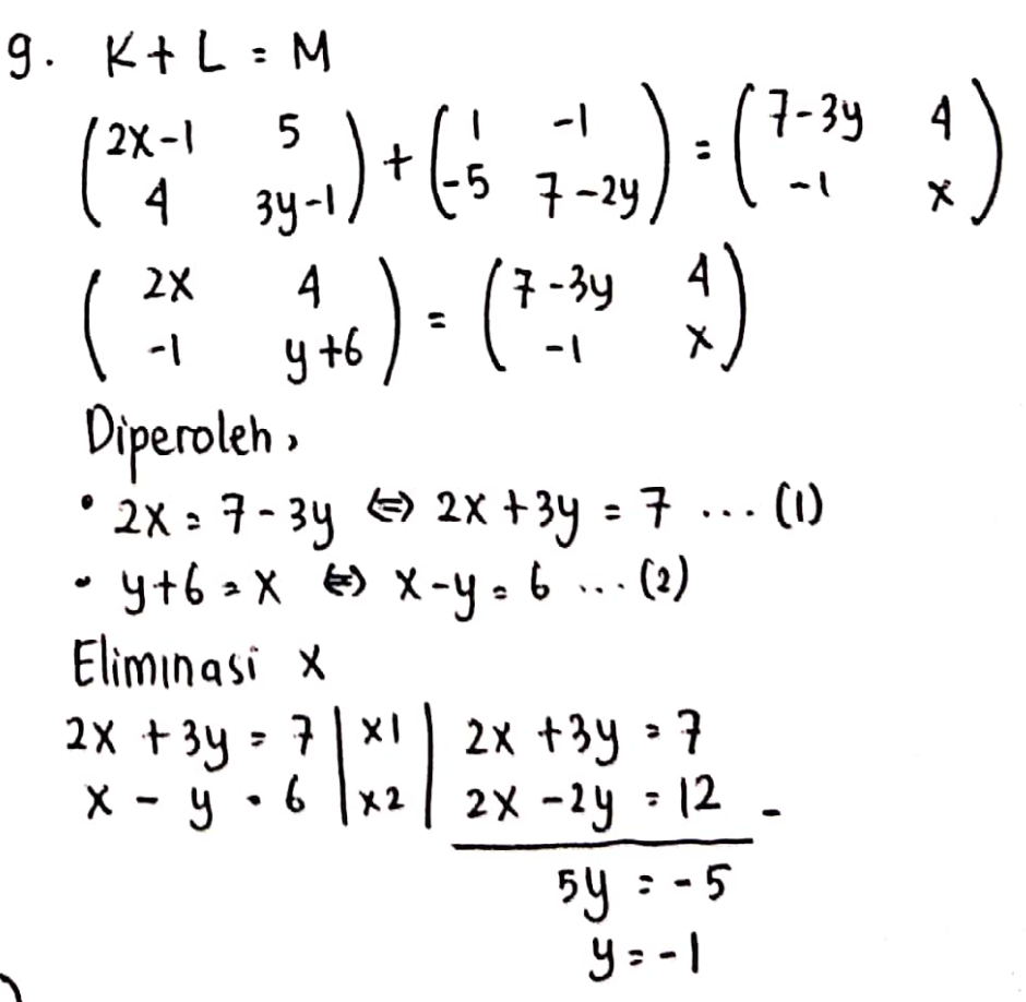
Halaman 211
A. x = –1 dan y = 5
B. x = 1 dan y = –5
C. x = 5 dan y = –1
D. x = –5 dan y = –1
E. x = –1 dan y = –5
Pembahasan
Pembahasan Matematika Kelas 11 Kurikulum Merdeka Penerbit Erlangga
