<<HALAMAN SEBELUMNYA
sebelum lanjut mimin saranin buat yang udah kelas 12 untuk mencoba soal-soal SBMPTN,TPA (2000-2017) DLL yang disertai pembahasan dan rangkuman secara cuma-cuma. bisa di klik pada link dibawah ya.
Saran Artikel : Rangkuman,soal dan pembahasan SBMPTN,TPA (2000-2017)
sebelum lanjut mimin saranin buat yang udah kelas 12 untuk mencoba soal-soal SBMPTN,TPA (2000-2017) DLL yang disertai pembahasan dan rangkuman secara cuma-cuma. bisa di klik pada link dibawah ya.
Saran Artikel : Rangkuman,soal dan pembahasan SBMPTN,TPA (2000-2017)
Soal No. 9
dua buah mobil a dan b bergerak saling mendekat masing-masing berkecepatan 10 m/s dan 50 m/s. mobil b kemudian membunyikan klakson dengan frekuensi 870 Hz. jika cepat rambat bunyi di udara 340 m/s, frekuensi yang didengar oleh mobil a sebelum berpapasan adalah . .
A. 670 Hz
B. 700 Hz
C. 720 Hz
D. 870 Hz
E. 1050 Hz
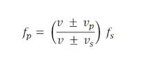
Pembahasan
dengan rumus diatas maka,
untuk vp + jika pendengar mendekati sumber dan - jika menjauhi
untuk vs + jika sumber menjauhi pendengar dan + jika mendekat
fp= (340 + 10) : (340 - 50) x 870
fp= 1050 Hz
Soal No. 10
sebuah mobil membunyikan klakson dengan frekuensi 400 Hz dan bergerak dengan kelajuan 10 m/s menuju ke suatu gedung besar. bunyi klakson yang dipatantulkan dari gedung mengalami superposisi dengan bunyi yang dipacarkan. frekuensi layangan yang didengar oleh pengemudi mobil adalah ( v bunyi di udara 340 m/s)
A. 6,06 Hz
B. 6,25 Hz
C. 8 Hz
D. 11,8 Hz
E. 12,12 Hz
Pembahasan
fp=(340 + 0) : (340 - 10) x 400
=412,12
frekuensi layangan = 412,12-400 = 12,12 Hz
Soal No. 11
amplitudo gelombang bunyi menentukan. . . .
A. kuat lemahnya bunyi
B. tinggi rendahnya nada
C. kualitas (timbre)
D. frekuensi layangan
E. frekuensi resonansi
Pembahasan
amplitudo menentukan kuat lemahnya bunyi
Soal No. 12
Diberikan besaran-besaran berikut
1. kekuatan
2. tinggi nada
3. kualitas
4. tegangan
5. luas permukaan
6. kerapatan bahan
frekuensi resonansi pada senar dengan panjang tetap selalu bertambah dengan bertambahnya
A. 1 2
B. 1 3
C. 3 4
D. 4 5
E. 5 6
Pembahasan
4,5,6 adalah faktor penentu frekuensi resonansi dawai
Saran Artikel : Contoh soal dan pembahasan fisika kelas 10 11 12 terlengkap!
Saran Artikel : Contoh soal dan pembahasan fisika kelas 10 11 12 terlengkap!
Soal No. 13
sebuah gelombang transversal merambat pada tali dengan persamaan y = 0,05 sin 2 (2x+20t), x dan y dalam meter dan t dalam sekon. jika masa jenis linear tali tersebut 9 x 10^-4 kg/m, tegangan tali saat itu adalah . . .
A. 0,06 N/m^2
B. 0,09 N/m^2
C. 0,24 N/m^2
D. 0,36 N/m^2
E. 0,72 N/m^2
Pembahasan
"Sangat Ringan, Hemat Kuota dan Lebih UPDATE
dengan APLIKASI Android Primalangga (Download)"
Soal No. 14
seutas kawat yang memiliki massa jenis linear 0,05 g/cm ditegangkan di antara dua tiang kaki dengan tegangan 200 N/m^2. diamati bahwa kawat beresonansi pada frekuensi 450 Hz. panjang kawat tersebut adalah . .
A. 1 m
B. 2 m
C. 3 m
D. 4 m
E. 5 m
Pembahasan
lanjutan
berarti f1 adalah frekuensi nada atas ke 8 (frekuensi ke 9) sedangakan f2 adalah frekuensi nada atas ke 9 (frekuensi ke 10)
maka panjang tali pada f=500 Hz (frekuensi ke 10 adalah)
l =5λ , maka λ= 5l
500 = 5/l √(F/m)
500 = 5/l . 200
l = 1000:500
Soal No. 15
Dalam suatu percobaan gelombang, pada tali terbentuk 4 buah perut dan 5 buah simpul gelombang ketika beban pada tali adalah a kg. jika pada percobaan tersebut beban diubaj menjadi 4a, banyaknya perut dan simpul yang terbentuk agar diperoleh frekuensi yang sama adalah . .
A. 2 perut dan 3 simpul
B. 4 perut dan 5 simpul
C. 5 perut dan 4 simpul
D. 8 perut dan 9 simpul
E. 9 perut dan 8 simpul
Pembahasan
Soal No. 16
Harmonik ketiga sebuah pipa yang tertutup salah satu ujungnya adalah 720 Hz, jika cepat rambat bunyi adalah 310 m/s, panjang pipa adalah . . .
A. 12,5 cm
B. 25 cm
C. 37,5 cm
D. 50 cm
E. 75 cm
Pembahasan
Saran Artikel : Rangkuman Materi Gelombang Cahaya kelas 12
Temen-temen dapat memberikan Donasi untuk Perkembangan Blog ini kedepannya dengan cara meng "klik" iklan yang tampil. 1 klik saja sudah cukup bagi kami.
Terima Kasih !!
Klik link diatas untuk melanjutkan pembahasan fisika erlangga gelombang bunyi