Soal No. 2
Suatu rangkaian seri R, L, dan C dihubungkan dengan tegangan bolak-balik. Apabila induktansi 1/25π2 H dan kapasitas kapasitor 25 μF, maka resonansi rangkaian terjadi pada frekuensi .....
A. 0,5 kHz
B. 1,0 kHz
C. 2,0 kHz
D. 2,5 kHz
E. 7,5 kHz
Suatu rangkaian seri R, L, dan C dihubungkan dengan tegangan bolak-balik. Apabila induktansi 1/25π2 H dan kapasitas kapasitor 25 μF, maka resonansi rangkaian terjadi pada frekuensi .....
A. 0,5 kHz
B. 1,0 kHz
C. 2,0 kHz
D. 2,5 kHz
E. 7,5 kHz
Pembahasan
Frekuensi resonansi untuk rangkaian RLC terjadi saat reaktansi induktif sama besar dengan reaktansi kapasitif, dengan nilai frekuensi :
Soal No. 3
Perhatikan gambar rangkaian listrik berikut
Jika tegangan maksimum sumber arus bolak-balik = 200 V, maka besar kuat arus maksimum yang mengalir pada rangkaian adalah....Perhatikan gambar rangkaian listrik berikut
A. 1,5 A
B. 2,0 A
C. 3,5 A
D. 4,0 A
E. 5,0 A
Pembahasan
Data dari soal di atas sebagai berikut:
R = 60 Ω
XL = 120 Ω
XC = 40 Ω
Vm = 200 volt
Im = .................
Langkah pertama temukan dulu impedansi rangkaian (Z)
Kuat arus maksimumnya adalahData dari soal di atas sebagai berikut:
R = 60 Ω
XL = 120 Ω
XC = 40 Ω
Vm = 200 volt
Im = .................
Langkah pertama temukan dulu impedansi rangkaian (Z)
Soal No. 4
Rangkaian R – L – C disusun seperti gambar di samping.
Grafik gelombang sinus yang dihasilkan jika XL > XC adalah….
A.
| |
B.
| |
C.
| |
D.
| |
E.
|
Pembahasan
-Jawaban A dan E bisa dibuang dulu, karena menggambarkan I sebagai garis lurus.
-Jawaban B bisa dibuang kemudian, karena menunjukkan V sefase dengan I, kelihatan saat 0°, 180° dan 360°, V dan I berada pada satu titik, jadi sefase. Jangan terkecoh dengan garis merahnya V yang terlihat lebih tinggi dari garis birunya I.
-Tinggal C dan D. Mana yang V mendahului I? yang C, terlihat saat I nya masih nol, V nya sudah punya nilai sudut tertentu yang lebih besar dari nol, jadi seperti grafik option B, tapi merahnya digeser sedikit ke sebelah kiri.
Soal No. 5
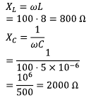
Perhatikan gambar rangkaian RLC berikut
Soal No. 5
Perhatikan gambar rangkaian RLC berikut
A. 1600 Ω
B. 1500 Ω
C. 1300 Ω
D. 800 Ω
E. 600 Ω
Pembahasan
Data yang bisa diambil dari gambar:
R =500 Ω
L = 8 H
C = 5 μF
ω = 100 rad/s
Z =..............
Tentukan dulu reaktansi induktif (XL ) dan reaktansi kapasitifnya (XC):
Impedansi rangkaian:
Latihan:
Soal No. 6
Dalam rangkaian seri hambatan (R = 60 Ω) dan induktor dalam tegangan arus bolak-balik, kuat arus yang lewat 2 ampere. Apabila dalam diagram vektor di bawah ini tan α = 3/4, tegangan induktor adalah....
A. 72 voltDalam rangkaian seri hambatan (R = 60 Ω) dan induktor dalam tegangan arus bolak-balik, kuat arus yang lewat 2 ampere. Apabila dalam diagram vektor di bawah ini tan α = 3/4, tegangan induktor adalah....
B. 90 volt
C. 120 volt
D. 160 volt
E. 200 volt
Soal No. 7
Penunjukkan ampermeter A = 2 mA dan penunjukkan voltmeter V = 20 volt. Berarti frekuensi AC dalam rangkaian tersebut adalah...
A. 25 Hz
B. 50 Hz
C. 100 Hz
D. 500 Hz
E. 1000 Hz
Soal No. 8
Rangkaian seri pada gambar di bawah memiliki impedansi minimum jika R = 100 Ω, L = 0,1 H dan C = 10−3π−2 F.
Frekuensi tegangan bolak-balik yang terpasang adalah...B. 50 Hz
C. 100 Hz
D. 500 Hz
E. 1000 Hz
Soal No. 8
Rangkaian seri pada gambar di bawah memiliki impedansi minimum jika R = 100 Ω, L = 0,1 H dan C = 10−3π−2 F.
A. 10π Hz
B. 25π Hz
C. 50 Hz
D. 100 Hz
E. 150 Hz
NEXT PAGE : 1 2

















